1、百葉窗式除塵器的計算
① 排氣級數φ抽吸塵氣量占總處理氣量百分數,通常采用10%~20% 這樣可以減輕磨損,提_率。
②攔灰柵阻力△P一般可采用100~200Pa。為防止塵粒在進氣室沉積,△P值不應小于_小允許值,攔灰柵位于水平管道時取200Pa;攔灰柵位于垂直煙道時取100Pa。
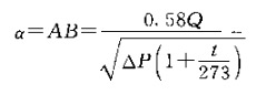
③攔灰柵進氣室的橫截面積a按下式計算:
式中 α——進氣室橫截面積,m;
A——攔灰柵葉板長度,m;
B——進氣口寬度,m;
Q——處理氣量,m3/h;
t ——煙氣溫度,℃;
△P——攔灰柵煙氣阻力,Pa。
攔灰柵的氣體進口寬度 B 與葉板數量 n (指欄灰柵的一側)之間,存在下列關系:
當φ=10%時 B=18n
當φ=20%時 B=19n
為了防止吸塵縫內進人大塊灰渣引起堵塞或因而減小吸出的煙氣量,以致降低除塵效果,應在攔灰柵前裝設網格或采取其它措施來盡可能_除塵器正常工作。吸塵縫寬度 b 可按下列關系式求得:
中間吸塵縫 [見圖(a)]
φ=10%時,b=0.05B
φ=20%時,b=0.1B
兩側吸塵縫 [見圖(b)]
φ=10%時,b=0.025B
φ=20%時,b=0.05
根據吸塵縫寬度在構造上和運行上的要求,攔灰柵允許的_少葉板數應限定為:
中間吸塵縫
φ=10%時,nmin=12
φ=20%時,nmin=11
兩側吸塵縫 [見圖(b)]
φ=10%時,nmin=44
φ=20%時,nmin=22

對于所有型式的攔灰柵,其允許的葉板數_多為75。在此情況下,煙氣進氣口寬度 B=1350 (1425)mm。對于大容量的除塵器,當計算所得的 B>1350 (1425)mm 時,_并列裝置幾個攔灰柵。
④ 裝置在吸塵縫后的擴散器的出口截面的寬度b1,及其長度ι,可按下式確定
式中 b——吸塵縫的寬度,m;
k’ k“ ——系數,見表
△P/Pa | 196 | 245 | 294 | 343 | 392 | 491 |
k‘ | 1.364 | 1.524 | 1.670 | 1.804 | 1.928 | 2.156 |
k” | 2.082 | 2.997 | 3.832 | 4.600 | 5.310 | 6.610 |
注:當 △P=147 Pa時,不需要裝設擴散器。
⑤ 將煙氣從擴散器引至抽吸旋風子(抽吸除塵器) 的引進管道的截面積a1可按下式確定:
當φ=10%時
當φ=20%時
式中 a ’——接到一條引進管道的進氣室的截面積,m2;對于中間吸塵縫a ‘=a/m;對于兩側吸塵縫a ‘=a/2m,其中,m為與一個吸塵縫相連的引進煙道的數目。
⑥ 從旋風子(抽吸除塵器) 到主管道的引出風道的截面積 a2為 a2≥2a1。
⑦旋風直徑D。抽吸旋風子直徑可由下列各式求得:
當φ=10%時
當φ=20%時
式中 △Pa 旋風子的計算阻力,一般為100~250Pa。
2、百葉窗式除塵器的設計和選用
① 百葉窗式除塵器的欄塵柵宜用 20mm×20mm 的方變圓截面形狀的耐磨鋼材制作。
② 在攔塵柵前管道彎頭中間裝置導流葉片,以使氣體速度和含塵濃度在攔塵柵前的管道截面中保護均勻。
③ 旋風子通常應直接放在吸塵縫的附近。
④ 在設計時應考慮到旋風子不能用于積存捕集到的粉塵,而要將捕集到的粉塵連續地排出旋風子。應在原灰塵出處設置性能良好的卸灰裝置。
⑤ 百葉窗式除塵器可安裝在垂直、水平或傾斜的管道中。
⑥ 慣性除塵器的氣流速度愈高,氣流方向轉變角度愈大,慣性除塵器用于凈化密度和粒徑較大的金屬或礦物性粉塵具有較高除塵效率。對黏結性和纖維性粉塵,則因易堵塞而不宜采用。